滑油壓力表信號測量和處理電路設計
針對現有飛參記錄儀中發動機滑油壓力參數測量誤差大的問題,在分析測量電路工作原 理的基礎上,提出了在飛參外部加裝電壓信號測量處理電路的解決方案,并設計了實際電路,對測量 結果進行了分析,從而在不改變飛參設備內部硬件結構的條件下,實現了滑油壓力信號的準確測量,可為發動機監控提供重要依據。
飛機發動機滑油壓力參數是衡量飛機發動機是否 正常工作的重要依據,尤其在飛機科學維修、故障預 防預測以及飛行事故調查時,飛行參數記錄設備(簡稱 飛參)能否對壓力參數進行準確記錄則是處理問題的關鍵。
1.滑油壓力測量現狀
滑油壓力由壓力表系統進行測量指示,該系統是一 種二線磁電式儀表系統,由壓力傳感器和指示器構成, 原理電路如圖1所示。圖1(a)是直流磁電壓力表原理電 路,圖1(b)是交流磁電壓力表原理電路,系統中的傳感 器在油壓作用下改變指示器中兩個工作線圈的電流比 值,此電流比與滑油壓力成一定函數關系,而指示器中 指針的轉角與該電流比也成同樣的函數關系?,F在飛機 所裝備的飛參記錄設備利用測量(圖1中A、B兩點)電 壓的方法來計算滑油壓力,從多年來的使用情況看,飛 參記錄的滑油壓力值誤差很大,嚴重影響了發動機工作 性能的正確判定。從壓力表的工作原理可知,用A、B兩 點的電壓計算滑油壓力,此方法存在原理性錯誤,因此, 必須對其進行改進,才能保證滑油壓力的準確測量。
2.壓力信號提取方法研究
2.1壓力表工作原理分析
交、直流壓力表的工作原理相似,本文就以交流壓 力表為基礎討論壓力信號測量方法。
滑油壓力表簡化等效原理電路如圖1(c),指示器指 針的轉角與電流比值成一定的函數關系,即: a =f( IJ Ib)
電路中,可見,電流比只與傳感器阻抗的相對變化量有關,也就 是說指針轉角只與傳感器阻抗的相對變化量有關,單值 地反映壓力的變化情況。

2.2壓力與Uab的關系
根據簡化等效電路可得
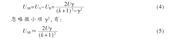
可見,UkB不僅與傳感器阻抗的相對變化量成正比,還與 電源電壓成正比。因此單純測量UkB不能計算出壓力 值,除非使用恒壓源供電方式,UkB才僅與y成正比,單 值地對應壓力值。表1是不同電源電壓下測得UkB的實 際數據。從表1可見,UkB隨著電源電壓正比例變化。
在飛機上,壓力表系統由DC27V供電或由AC 115 V/ 400 Hz經變壓器降至約36V供電,這兩種電源的波動 同樣會正比例地傳遞給電壓測量系統,飛行中兩種電源的電壓波動都非常大,會造成很大的壓力測量誤差。由 此可見,僅測量Uab是不能準確計算壓力數值的。
實際情況是,在飛機上不可能專門給滑油壓力表系 統提供恒壓電源。從壓力表系統的原理及式(3)、式(5)可 知,只要想辦法去除電源電壓的影響,就可以從根本上 解決準確測量的問題。
2.3改進方法研究
2.3.1增加電源電壓U的測量用以修正Uab
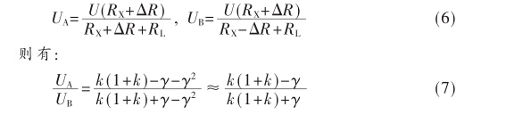
在現有測量的基礎上增加一個測量參數——電源 電壓U,以在36V供電情況下的參數為基準,用式(6)對 UkB進行修正,然后根據P ~ UkB對應關系計算壓力數 值,即:
2.3.2測量電壓Uk和Ub ,用電壓比計算壓力
如圖1,如果選擇參考點1,可得:
由式(7)可見,電壓比與電流比一樣,僅與傳感器阻 抗的相對變化量有關,可以單值地反映壓力的變化。這 樣一來,就有如下兩種改進方法實現對滑油壓力進行準 確的測量。
方法一若飛參中有可擴展的模擬信號測量通道, 則將原測量Uab的電路在增加了參考點后改成測量Uk 和Ub,測試程序中壓力測量函數改成Pf Ub/Ua)就可準 確測量壓力。該方法飛參改動大,既要對飛參系統硬件 電路進行改造,又要對壓力計算函數進行相應的改進。
方法二飛參外部(即在飛機上)加裝電壓Uk和U 測量電路,并完成Ub/ Ua運算,計算結果從原通道送給 飛參系統,飛參系統硬件不作任何改動,只對壓力計算 函數作相應的調整,即可完成壓力的準確測量。
目前,由于飛參系統可用于擴展的模擬輸入通道很 緊張,對飛參系統硬件改動的難度很大,故方法二是最 佳的改進方法。

3.電壓Vk和VB信號測量處理電路設計
3.1信號特性分析
從圖1可知,對于直流磁電儀表,電壓的測量相對 要簡單一些,而交流表則復雜一些,其兩條電流支路是 半波整流電路,即流過各支路的電流是半波脈動直流。 若取參考點1,則測得的Ua和Ub波形見圖2,其中(a)、 (d)是完整波形,可見出現了嚴重的畸變,這是由于電路 中存在感性元件的緣故;(b)、(c)是壓力為零時Ua和U 的正半周有效波形,(e)、(f)是壓力為8kg/cm2時Ua和U 的正半周有效波形。通過分析可知,只要正確提取每個 電壓的正半周信號,濾波后再完成Ub/ Ua運算,壓力就 可準確計算。同理,若取參考點2,據圖3所示波形可 知,只要正確提取每個電壓的負半周信號,然后完成Ub/ Ua運算,壓力同樣可準確計算。
3.2信號測量和處理電路設計
通過信號分析可知,“同相輸入正輸出”半波整流電 路可用于圖2所示有效電壓信號的測量,“反相輸入正 輸出”半波整流電路可用于圖3所示有效電壓信號的測 量[4]。圖4就是設計的半波整流電路,圖中C1和C2的 作用是濾波,即將脈動直流信號濾成比較平滑的直流信 號,開關K用于切換不同參考點時的整流方式。當選擇 參考點1時,K應為圖中同相輸入位置,否則應選擇向 下反相輸入位置,整流器的增益為1/4。
3.3模擬混合四則運算電路設計
為了使處理電路的輸出能夠適應不同的測試需求 而設置了參數K和K2調整電路,以完成如下計算:
圖5是按式(7)設計的運算電路,其核心運算器U6 是模擬混合四則運算電路,其中U3為緩沖器,U4和其 外圍的各元件構成了 一個同相放大器,以調整參數K!,
U5 和 其 外 圍 的 各 元 件 構 成 了 參 數 K2 調 整 電 路U7 為 2.5V標準電壓源。當設定時,電路對滑油壓力表系統進 行信號處理的結果在表2、表3中列出。
3.4測量結果分析
從表3中的計算誤差可見,電源電壓超出36 V± 10% 且在極端壓力時測量誤差超過1.0%,但小于2.5%;當電 源電壓在36V ± 10%以內時,電路測量誤差小于1.0%, 且幾乎不隨電源電壓的波動而變化.由此證明:用半波 整流和模擬混合四則運算電路組成的壓力信號測量電 路可以準確地測算壓力表系統的電壓比Ub/Ua,并方便 地以合適的直流模擬電壓形式傳遞給飛參系統,壓力數值計算準確。
3.5誤差分析
通過對壓力給定設備、實驗電路進行分析,測試中 出現誤差的原因主要有以下三個方面:(1)壓力給定設 備誤差,會對測量造成一定的影響。(2)從測量數據來看,傳感器兩個電感線圈存在一定的不對稱誤差,尤其 在電源電壓超過± 10%以后,其不對稱性造成的非線性 誤差加大。且傳感器對稱中點(4.0kg/c)有一定偏差,也 增加了測量的誤差。(3)在測量電路中,由于使用的運算 放大器沒有設置失調調整電路,故放大器失調也造成了 一定的測量誤差。
實驗證明,用半波整流電路結合模擬混合四則運算 電路可以很好地完成Ub/ Ua的測算,從而可以不改變飛 參設備內部硬件結構,通過在飛機上加裝測量電路,實 現將與滑油壓力成函數關系的直流電壓信號從原輸入 電路送給飛參設備,實現滑油壓力的準確測量。
下一篇:無殘留壓力表校驗器設計


