壓力表更換和校驗——理論分析
壓力表是油田生產工作中最常用的壓力顯示儀表,壓力表都有一定的校驗周期,以保證壓力表的正常使用。通過對壓 力表更換和校驗的理論分析,找出最合理的最有效的壓力表更換和校驗管理模式。找出最有效最經濟的壓力表管理方法,從 而達到節約成本,減少員工勞動量的目的。
1.壓力表更換和校驗目前存在問題
(1)各個井區壓力表校驗“扎堆”現象,作業區校驗 室某些月份校表少,工作量輕,而某些月份需校驗壓力表太 多,根本校驗不及,影響各個井區的壓力表更換,導致現場 出現過期壓力表。(2)有些井區庫房有一定數量的表還沒有 更換到井上,由于壓力表有效時間到期不得不重新校驗,從 而增加校驗室工作量。(3)現場需要更換的量程壓力表不足, 而其他無需更換的量程壓力表又多出;導致井場有過期壓力 表,而庫房又有多余的壓力表,產生“滯漲現象”。(4)由 于之前管理不善,歷史遺留問題,導致大部分井區目前流通 壓力表總數量不夠,一個月校驗一次根本不夠將井上所有過 期壓力表換完。(5)目前壓力表校驗制度,壓力表校驗一月 只能校驗一次,各個井區壓力表數量不足,再加上校驗時有 一定數量損壞的壓力表,損壞的壓力表當月不能及時校驗, 不能及時更換到,導致現場的壓力表過期,無法校驗使用。
2.問題出現的原因 (1)根本原因:作業區庫房批量采購的壓力表,有效 日期或者說校驗日期是一樣的,所以流向各個井區后,校驗 日期是同一時期的,導致校驗壓力表的“扎堆”現象。(2) 制度原因:目前一月只能交一次壓力表,時間周期太長,校 驗時損壞的壓力表不能及時補充校驗,不能及時更換到現場。 3理論研究及要想達到的效果
(1)壓力表校驗理想狀態應滿足的幾個條件:①井場 壓力表沒有過期壓力表及過期壓力表及時得到更換;②整 個作業區或者井區流通的壓力表總數盡可能少,也可以說是 各個井區及作業區庫房備用壓力表數盡可能少;③校驗室 的工作量盡可能少和流程盡可能簡單;(2)壓力表最優表數 量論證:論證的前提條件:井場無過期壓力表,過期壓力表 及時得到更換;以莊二增井區為例:
第一步:統計某二增井區現場需要壓力表總數:水井 32*2=64塊,油井81*2=162塊,站內:32塊,共計:258塊。
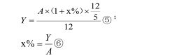
井區流通表數量=現場需要用表量+庫房備用表量; x%=庫房備用表量/現場需要用表量; x%表示的意義為:庫房備用表量占現場需要用表量的百 分數;X%表示庫房備用表量占現場需要用表量的最優值;
注:1.庫房必須備用一定數量的表,防止井場壓力表不 到校驗期損壞:現場需要用量表*5%,比較合理。2.假設在 極端情況下,井場壓力表所有表在同一時間過期,則需要用 表現場需要量表*105%,才能滿足條件。則X%為井區需備用 數量表最優值的取值范圍[5%-105%]。
第二步:校驗室利用校驗日期退后法校表,一年后壓力 表進入良性循環。

井區每月額定校表量=井區每月過期壓力表數量②
每月平均過期壓力表數量
③;
現場需要用表量 我們讓庫房備用每月平均過期壓力表數量的壓力表,則:
每月平均過期壓力表數量=庫房備用表數量④;
(待驗證為最優)我們把現場需要用表量,用A表示,為一 個定值,各個井區可以統計得出;井區每月的額定校表數量 用Y表示,則公式為
經過上式計算得x%=25%為最優解,X%=25%。
由于我們更換壓力表都是提前更換上去的,之間校驗時 間有重復的,所以5代表壓力表有效期5個月,而壓力表有 效期為6個月,所以這個取值可以在5個月和6個月之間。 得出X%取值在[20%,25%],實際X%=22.7%為最優值,屬于 [5%,105%]的范圍。由此可以得出每個月井區校驗壓力表數 量最少工作量:當X%取25%時,Y=0. 25A;當X%取20%,Y=0. 24A; 第三步:1.壓力表校驗周期為6個月,而壓力表往往在 到期之前幾天至一月內被換下,再加上準備更換時間,所以 每一塊壓力表正常校驗周期為5個月,每次校表都有一定的 損壞表,為了不影響下個月的壓力表更換和校驗,每個月至 少得校表兩次。如果每月校驗一次的話,為了保證井區沒有 過期壓力表就得增加庫房備用壓力表的數量,使庫存備用表 數量大于井場過期數量,這樣需要增加壓力表數量,從公式 可以看出壓力表增加導致每月的校驗的工作量增加,表現為 一部分壓力表沒有安裝到現場,在庫房就己經到有效日期。 (3)如果校表次數增加為三次及三次以上,則更換校驗壓 力表的整個流程周期變短,整個流程變得復雜,雖然校驗室 校表工作量下降、庫房備用的壓力表數量下降,但是井區、 技術組、校驗室送表、校表、取表流程次數增加,使工作流 程變的復雜,不可取。(4)每月校表兩次,根據實際校表速 度,大約5-9天領到校驗合格的表和損壞表數量,及時在技 術組領取損壞表數量的新表,等到下半月第二次校表時間時, 將新表交校驗室校驗,這樣不影響下個月壓力表更換和校驗。
4.總結
通過對目前油田現場壓力表出現的問題的深入研宄和 論證,找出最有效最經濟的壓力表管理方法,從而達到節約 成本,減少員工勞動量的目的。
上一篇:關于調整彈簧管壓力表的若干問題


