掃描式空氣呼吸器指針壓力表數字化檢測裝置
簡要分析了相關文獻專利中的壓力數字化技術,公安消防部隊現有空氣呼吸器的情況,以及目前消防裝備市 場部分帶有壓力平視顯示裝置的空氣呼吸器情況,提出了一種掃描式空氣呼吸器指針壓力表數字化檢測裝置,該裝置可加 裝于普通空氣呼吸器指針壓力表上,實現壓力的數字化檢測,從而可用于壓力的平視顯示或其他功能,無需改變空氣呼吸 器原有結構和安全特性,也不影響其原有功能,通過低功耗設計和自動開關機設計使得本裝置更貼近實戰化需求。
1.引言
正壓式消防空氣呼吸器的壓力平視顯示功能對于消防 部隊在實戰中的作用日益凸顯,2013年公安部發布了公共 安全行業標準——《正壓式消防空氣呼吸器》GA 124- 2013該標準代替了原標準GA 124 - 2004⑴,與GA 124 -2004相比的技術變化中,增加了電子壓力表的性能要求 以及增加了壓力平視顯示裝置的性能要求及試驗方法。在 《城市消防站建設標準》(建標152 -2011)[3]中,正壓式消 防空氣呼吸器的配備標準是1具/人,普通消防站備份比為 5:1,特勤消防站備份比4: 1,公安現役消防部隊配備了大 量的正壓式消防空氣呼吸器。
除了一些經濟發展較好地區的消防部隊采購了一部分 智能型空氣呼吸器w外,其他空氣呼吸器采用的還都是指 針式壓力表。從經濟性角度,部隊亦不可能將現役普通空 氣呼吸器全部更換為帶有壓力平視顯示裝置的新型空氣呼 吸器。文獻和專利中提出了一 種空氣呼吸器指針壓力表數字化裝置,這種方式要求該裝 置先開機持續檢測,再開啟氣瓶工作,實現對氣瓶壓力分 段數字化。此外檢測過程中,若有短暫干擾或中斷,則會 影響后續的檢測結果。
本文結合以上現狀和相關技術的不足之處,提出了一 種掃描式空氣呼吸器指針壓力表數字化檢測裝置,可實現 對壓力的數字化檢測,可用于對公安消防部隊現役普通空 氣呼吸器進行加裝,從而實現壓力的數字化檢測、壓力平 視顯示及其他功能。
2.掃描式指針壓力表數字化檢測部分設計
目前,智能空氣呼吸器多為在空氣呼吸器高壓氣路上 增加壓力變送器,利用壓力變送器直接將高壓部分轉換為 電信號,或者采用電子和機械雙功能的壓力表來轉換為電 信號,用以提供給壓力平視顯示及其他功能。本文提出一 種掃描式空氣呼吸器指針壓力表數字化檢測裝置,該裝置 直接安裝于指針壓力表的表面,其核心結構如圖1所示。 主要由光電傳感器、掃描機構和微處理器等組成。光電傳 感器與搖桿連接,位于指針壓力表表面,在掃描機構的帶 動下,光電傳感器沿指針運動軌跡進行掃描,感應指針位 置,根據掃描到指針的位置進行壓力值的換算。由于掃描 式檢測裝置具有可以重復主動檢測壓力表指針的優點,故 在受到意外干擾時,在下一次的正常測量中即可得到修正。 此外,在消防員需要查看壓力表指針示值時,無需拆下檢 測裝置,只需要在掃描式壓力檢測裝置對應的指針位置開 設可開閉的觀察窗口,打開觀察窗點亮照明,即可實現直 接觀察壓力表示值。

光電傳感器可采用反射式紅外光電傳感器,通過合理 配置其外圍偏置電路使得光電傳感器置于壓力表指針上方時,有較為顯著的輸出變化。微處理器控制掃描機構按一 定的步距角進行掃描,光電傳感器在搖桿的帶動下沿指針 運行軌跡運動,微處理器通過AD轉換讀取光電傳感器輸 出值,其電路示意框圖如圖2所示。

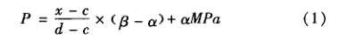
掃描機構可以由伺服電機、步進電機或其他驅動部件 等組成,下面以步進電機作為掃描機構為例來說明具體工 作流程。光電傳感器安裝在與步進電機軸連接的搖桿上, 將步進電機軸對準壓力表指針的軸位置,光電傳感器在搖 桿帶動下即可沿指針運動軌跡進行掃描,注意光電傳感器 要位于指針中后部,防止光電傳感器檢測到指針尾端造成 錯誤。微處理器控制步進電機按一定的步距角進行掃描轉 動,可以對步進電機進行細分驅動,以獲得較高的檢測精 度和較好的重復性。當步進電機轉動到一個實際的步距角 位置時暫停,微處理器讀取光電傳感器的接收電壓進行采 集并按順序記錄到電壓數組中;記錄后,微處理器繼續控 制步進電機轉動一個步距角并暫停,同樣對光電傳感器接 收電壓進行采集并按順序記錄到電壓數組中,如此反復直 到對壓力表中需要的量程位置掃描完畢,此時微處理器可 控制步進電機回到初始位置等待下一次掃描。微處理器對 掃描范圍內采集的接收電壓數組進行比較,電壓數組中的 最值即為光電傳感器對準指針時的檢測值,而這個最值在 電壓數組中的位置x,即對應了壓力表指針的位置P (即儀 表盤示值),計算公式如下:
其中參數《、;8、C、d通過校準來預先確定:給定某標準 壓力aMPa,壓力表指針指示到相應位置,此時讓本實用 新型所述的裝置進行掃描,其中采集電壓的最值所在數組 中的位置c即對應為oMPa ;再給定另一個標準壓力 jSMPa,同樣進行掃描,其中采集電壓的最值所在數組中的 位置d即對應為/SMPa。
3.檢測裝置的低功耗及自動開關機設計
隨著科技的不斷發展,消防員身上攜帶的電子裝備越 來越多,而電子裝備一般都需要手動進行開關機、充電或 更換電池,帶來很多操作上的不便,故數字化消防裝備的 低功耗設計和自動開關機設計具有很現實的意義。本文中 所提出的掃描式空氣呼吸器指針壓力表數字化檢測裝置中, 對主要部分進行能耗分析如下:
1.耗電量最大的部分是作為機電部件的掃描機構,故針對掃描機構的適當控制對于降低整個裝置的功耗具有至 關重要的作用;
2.微處理器自身的功耗;
3.光電傳感器的功耗。
根據消防員在使用空氣呼吸器過程中,氣瓶壓力的變 化相對緩慢,故掃描機構完全沒有必要一直進行連續掃描 檢測壓力變化,可以在一次有效檢測壓力值后,關閉掃描 機構,定時若干秒以后再進行壓力的掃描檢測,這樣可以 大大降低整個檢測裝置的電能消耗。同樣,微處理器在關 閉掃描機構期間,一方面可以關閉光電傳感器不消耗電能, 另一方面可利用啟動內部定時,并將微處理器設置進人掉 電模式或其他低功耗模式,等到定時時間到之后,喚醒微 處理器開啟相應的外圍功能部件進行壓力檢測,檢測完畢 再次進人低功耗模式。
考慮到實戰需要,可在電路中加人加速度傳感器,結 合光電傳感器,由微處理器判斷是否自動開機或者關機。 流程如下:
(1)當空氣呼吸器使用完畢,關閉氣閾,壓力歸零, 處于靜止備勤狀態,微處理器間歇檢測指針是否在零位; 數秒后,若加速度傳感器一直未有輸出,壓力也為零,此 時可以認為空氣呼吸器不再使用,此時檢測裝置自動進人 關機模式,只有加速度傳感器在低功耗運行。
(2)當打開靜止備勤狀態的氣閾,加速度傳感器感應 到運動輸出,產生中斷喚醒微處理器,微處理器檢測指針 是否在零位,若不在零位則控制掃描機構進行壓力的檢測 掃描,實現了檢測裝置的自動開機。
4.結語
根據公安消防部隊對空氣呼吸器平視顯示裝置的需求, 本文提出了一種掃描式空氣呼吸器指針壓力表數字化檢測 裝置,該裝置無需改變現役普通空氣呼吸器的氣路和結構, 不影響其原有的安全性能,具有較強的抗干擾能力,可設 置觀察窗口直接查看壓力表指針示值。此外,還進行了整 個檢測裝置的低功耗設計和自動開關機設計,消防員使用 時無需增加額外操作,使其更加符合消防實戰化需求。
下一篇:提高指針式壓力表檢定效率方法研究


